Голосование

Что круче?  :trollface:

Жаба
203 (51.1%)
Прес
194 (48.9%)

Проголосовало пользователей: 395

Автор Тема: Клуб любителей классики: Precision, Jazz Bass, Ric. и т.д.  (Прочитано 183400 раз)

0 Пользователей и 2 Гостей просматривают эту тему.

Оффлайн S-GRAY

  • Ветеран форума
  • ******
  • Сообщений: 3921
А так и Ампег уже лепят.
Насколько я знаю, а пендосии собирают только серию Heritage. Даже Classic в КНР собирают.

Оффлайн Superfuzz

  • Опытный
  • ****
  • Сообщений: 649
  • Peace & Noise
Friend_Killer, ну вот моё твёрдое мнение - усилители, комбы, примочки, сделанные в Китае - вполне неплохи. Но вот с инструментами засада.

Оффлайн Friend_Killer

  • Эксперт
  • *****
  • Сообщений: 2849
  • Stay Hungry
Superfuzz, наверняка эти гибсы через пиндосский отк проходят. Да и по звуку не хуже всяческих special и т.п.

Оффлайн Trashmet

  • Живу на форуме
  • *******
  • Сообщений: 16798
  • говна не посоветует
Superfuzz, наверняка эти гибсы через пиндосский отк проходят. Да и по звуку не хуже всяческих special и т.п.
комерс говорил что их только выпиливают в чайне, а собирают уже в штатах, отсюда повод писать на них "мейд ин уса"

Оффлайн Blackwinged

  • Живу на форуме
  • *******
  • Сообщений: 26152
  • Ф.О.А.Д.
    • ОПА!
На амеро-китайца гибсона цена должна быть не более 500уе
Вот и эксперты ценообразования подтянулись!
хз, если уже гипсан зашкварился... скоро варвеги будут в китайе собирать а в германии доводить и писать маде by джермани
В Корее собирают уже варвики.
комерс говорил что их только выпиливают в чайне, а собирают уже в штатах, отсюда повод писать на них "мейд ин уса"
Да никто ничо не знает. Коммерц в теме появлялся с каким-нибудь мутным бездоказательным заявлением только тогда, когда срач там начинал угасать. Думаю, это кагбэ намекает.

Оффлайн marius Автор темы

  • Живу на форуме
  • *******
  • Сообщений: 8094
адок какой развели...

Оффлайн Ersul

  • Опытный
  • ****
  • Сообщений: 658
S-GRAY, посмотрел на сайте Хипшота видео про настройку детюнера. Останусь-ка я пока при старых колках. Буду держать при себе старенький Корг.

С дырками, которые надо сверлить под ретэйнеры тоже напугали. Витков и так 4.

А вот бридж поменяю скорее всего. Badass снят с производства. Лео Кван покинул нас. Нравится бабич - лёгкая алюминиевая конструкция и полностью фиксируемые подвижные части бриджа. Есть ли они в Москве?

Оффлайн Эдуард Пулашкин

  • Ветеран форума
  • ******
  • Сообщений: 4115
Badass снят с производства. Лео Кван покинул нас.
:hmmm:
Теперь бадассы будут дорожать?

Оффлайн Ersul

  • Опытный
  • ****
  • Сообщений: 658
LPJ, SGJ - самая что ни на есть американская америка. Спрашивал у Gibson. Вот только звучат они... Скверно. Не радует ухо. А уж про сборку современных Gibson молчу и вовсе.

Оффлайн S-GRAY

  • Ветеран форума
  • ******
  • Сообщений: 3921
S-GRAY, посмотрел на сайте Хипшота видео про настройку детюнера. Останусь-ка я пока при старых колках. Буду держать при себе старенький Корг.
И что там сложного? если правильно подобрать модель, даже дырки новые делать не нужно. Один раз установил и пользуйся.

Оффлайн Superfuzz

  • Опытный
  • ****
  • Сообщений: 649
  • Peace & Noise
Раз уж пошла тема про детюнеры, хоть и оффтоп по теме, задам вопрос - басовый детюнер на сколько понижает строй - на полтона (один лад) или на тон (2 лада)?
Погодите смеяться.
Просто я поставил себе детюнер Хипшот на Рикенбеккер в полной увереноости, что легко и непринуждённо спущу струну на он. Ан нет, максимум, на крайней реулировке, три четверти тона. Это же по уму ненормально. Если я дропаю струну, мне нужно на тон.
Я конечно знаю, что можно сделать - выточить другую ручку детюнера. Но вот нет таких спецов, кто бы это сделал. А пока подкладываю в детюнер обычный железный стержень от джека.

Оффлайн S-GRAY

  • Ветеран форума
  • ******
  • Сообщений: 3921
Раз уж пошла тема про детюнеры, хоть и оффтоп по теме, задам вопрос - басовый детюнер на сколько понижает строй - на полтона (один лад) или на тон (2 лада)?
Погодите смеяться.
Просто я поставил себе детюнер Хипшот на Рикенбеккер в полной увереноости, что легко и непринуждённо спущу струну на он. Ан нет, максимум, на крайней реулировке, три четверти тона. Это же по уму ненормально. Если я дропаю струну, мне нужно на тон.
Я конечно знаю, что можно сделать - выточить другую ручку детюнера. Но вот нет таких спецов, кто бы это сделал. А пока подкладываю в детюнер обычный железный стержень от джека.
не сталкивался с таким... должен хотя бы на тон понижать...

Оффлайн Tonari

  • Опытный
  • ****
  • Сообщений: 595
  • Nu blir vi farliga!
Раз уж пошла тема про детюнеры, хоть и оффтоп по теме, задам вопрос - басовый детюнер на сколько понижает строй - на полтона (один лад) или на тон (2 лада)?
Погодите смеяться.
У меня на тон понижает, с ми на ре, два лада. Регулировки хватит еще на полтона точно, может и больше. Но что у меня стоит сказать не смогу..

Оффлайн salat7

  • Опытный
  • ****
  • Сообщений: 568
Superfuzz,
Раз уж пошла тема про детюнеры, хоть и оффтоп по теме, задам вопрос - басовый детюнер на сколько понижает строй - на полтона (один лад) или на тон (2 лада)?
Погодите смеяться.
Просто я поставил себе детюнер Хипшот на Рикенбеккер в полной увереноости, что легко и непринуждённо спущу струну на он. Ан нет, максимум, на крайней реулировке, три четверти тона. Это же по уму ненормально. Если я дропаю струну, мне нужно на тон.
Я конечно знаю, что можно сделать - выточить другую ручку детюнера. Но вот нет таких спецов, кто бы это сделал. А пока подкладываю в детюнер обычный железный стержень от джека.
есть у меня такое подозрение, сейчас озвучу:
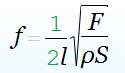
вот формула струны
f=(1/(2*l))*sprt(F*(p*S))
f-частота
l-длина струны
F-сила натяжения
p-плотность материала
S-площадь поперечного сечения
p и S  у нас одинаковые всегда
частоты f для нот тоже постоянны
а вот сила натяжения F и l длина струны для рикенбэкера будут другими, нежели у стандартной мензуры 34"
я прикинул, чем меньше длина струны l, тем меньше должна быть сила натяжения F, для достижения той же ноты, по идее детюнеру не хватает свободного хода, чтоб сильнее ослабить

как вариант попробовать струны тоньше, чтобы натяжение при меньшей мензуре было сильнее
« Последнее редактирование: Июня 18, 2014, 15:10:08 от salat7 »

Оффлайн Superfuzz

  • Опытный
  • ****
  • Сообщений: 649
  • Peace & Noise
salat7, по моему, эврика.
Дело в том, что у меня детюнер стоит не как у всех людей, на Ля, а на самую тонкую струн Соль. То есть строй с закрытым детюнером у меня ля на тонкой. Если всё это зависит от поперечного сечния струны, то ход детнера нужен больший, а значит, нужно сикать мастера, токаря или фрезеровщика, который эту рукояточку мне выточил бы.
Спасибо!