Автор Тема: Tycobrahe Octavia трансформатор N2  (Прочитано 730 раз)

0 Пользователей и 1 Гость просматривают эту тему.

Оффлайн Kurenkou Автор темы

  • Частый посетитель
  • **
  • Сообщений: 152
  • GuitarPlayer.Ru fan!
Tycobrahe Octavia трансформатор N2
« : Мая 18, 2025, 08:57:26 »
Заказал вот трансформаторы ei14, там на схеме нарисовано, что на вторичной 3 вывода, а на первичной 2, а на схеме педали наоборот, на первичной 3 вывода, а на вторичной 2. Кто подскажет, есть ли разница как его ставить, или это я что то напутал?:)

Оффлайн AZG

  • Живу на форуме
  • *******
  • Сообщений: 95553
  • Санкт-Петербург
    • AZG CUSTOM
Re: Tycobrahe Octavia трансформатор N2
« Ответ #1 : Мая 18, 2025, 09:06:17 »
неправильно заказан. По схеме трансформатора там нет отвода у вторички. По схеме эффекта у первички нет отвода, у вторички обязательно надо.

Оффлайн Kurenkou Автор темы

  • Частый посетитель
  • **
  • Сообщений: 152
  • GuitarPlayer.Ru fan!
Re: Tycobrahe Octavia трансформатор N2
« Ответ #2 : Мая 18, 2025, 09:10:00 »
Та вроде есть отвод у вторички

Оффлайн den-ssdd

  • Завсегдатай
  • ***
  • Сообщений: 315
  • контрабандист грусти
Re: Tycobrahe Octavia трансформатор N2
« Ответ #3 : Мая 18, 2025, 09:50:06 »
Та вроде есть отвод у вторички
Сердечник тут ферритовый.
Посмотрите на Авито приёмник Альпинист-407, выходной и согласующие трансформаторы УНЧ там намотаны на железе сечением 6*8мм. Примерно то же самое, что у оригинала.
https://www.avito.ru/kemerovo/kollektsionirovanie/radiopriemnik_alpinist_407_7358802304?context=H4sIAAAAAAAA_wE_AMD_YToyOntzOjEzOiJsb2NhbFByaW9yaXR5IjtiOjA7czoxOiJ4IjtzOjE2OiJhbXJObWJwSmxBSEZ3MEY4Ijt90lIhnj8AAAA - 200 рублей всего
« Последнее редактирование: Мая 18, 2025, 09:53:02 от den-ssdd »

Оффлайн AZG

  • Живу на форуме
  • *******
  • Сообщений: 95553
  • Санкт-Петербург
    • AZG CUSTOM
Re: Tycobrahe Octavia трансформатор N2
« Ответ #4 : Мая 18, 2025, 10:16:50 »
Kurenkou, это просто вывод каркаса. Туда ничего не припаяно.

Оффлайн Kurenkou Автор темы

  • Частый посетитель
  • **
  • Сообщений: 152
  • GuitarPlayer.Ru fan!
Re: Tycobrahe Octavia трансформатор N2
« Ответ #5 : Мая 18, 2025, 18:36:06 »
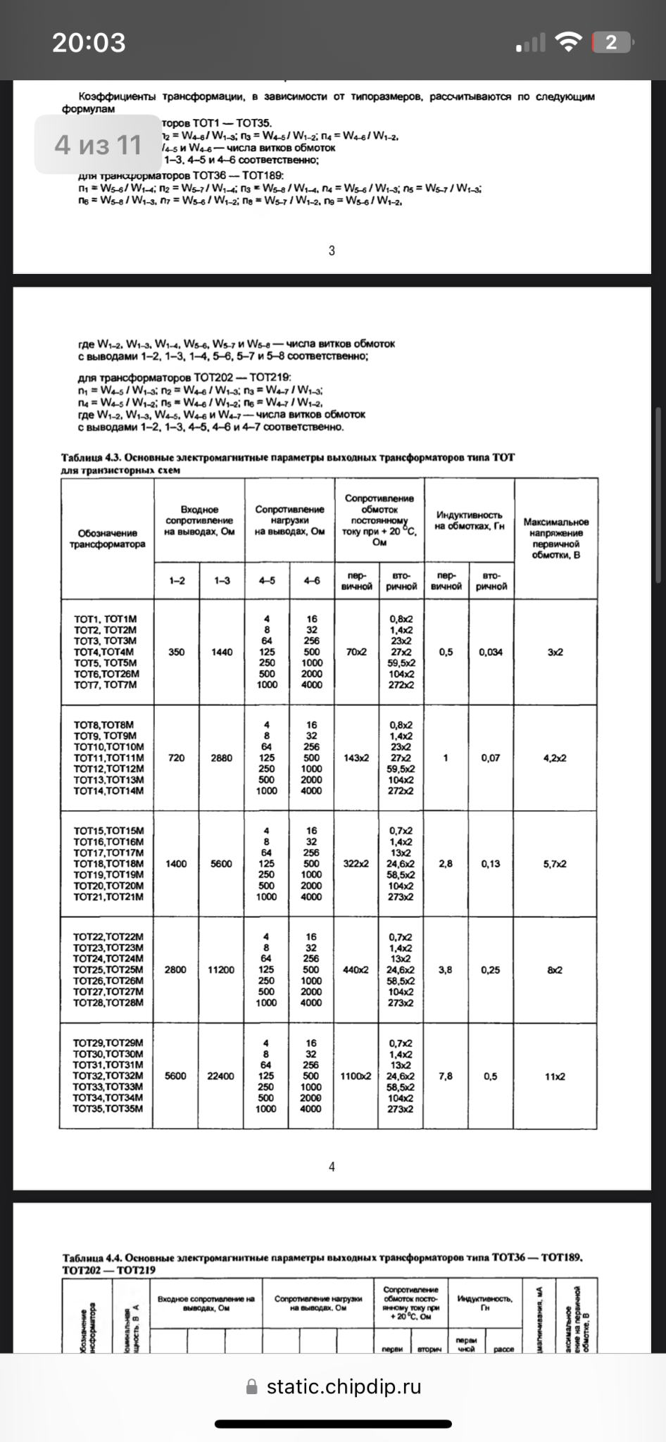
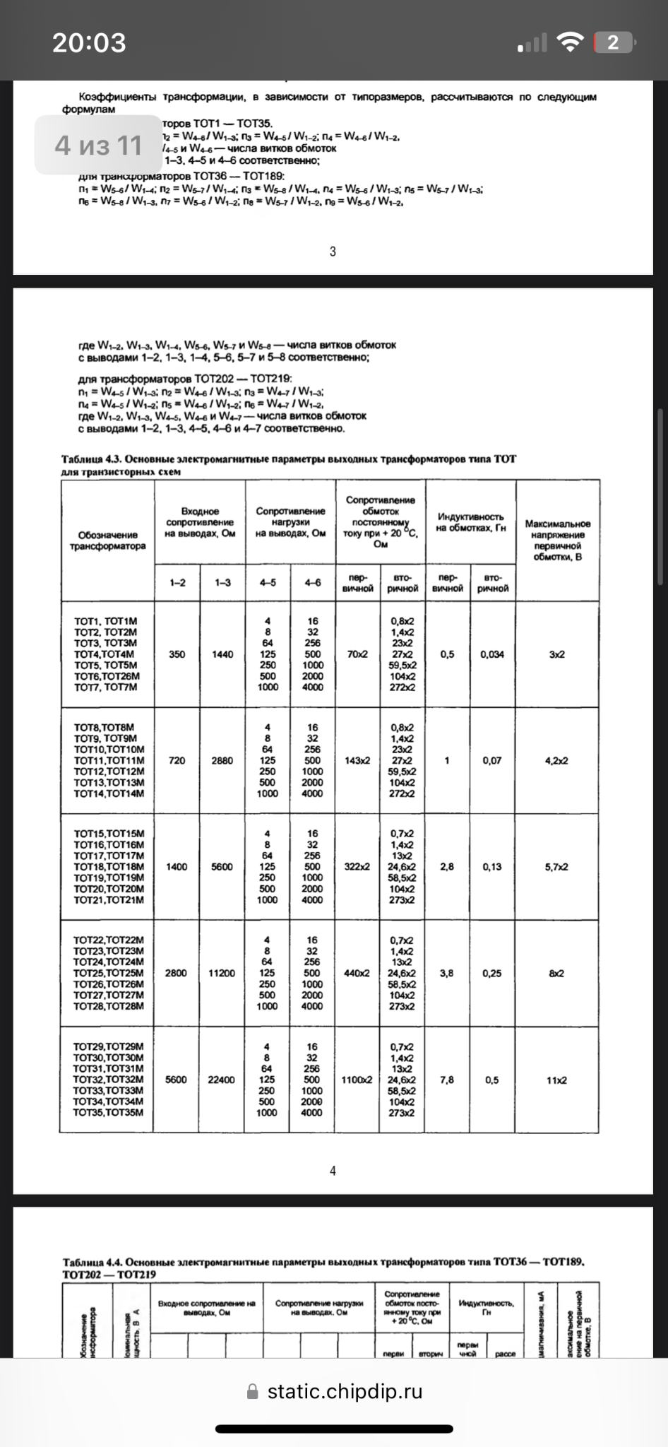
ТОТ28 подойдет?

... и добавил:

Kurenkou, это просто вывод каркаса. Туда ничего не припаяно.
.

... и добавил:

Или ТОТ-2, ТОТ-6? По характеристикам

... и добавил:

« Последнее редактирование: Мая 18, 2025, 19:04:45 от Kurenkou »

Оффлайн sadky

  • Эксперт
  • *****
  • Сообщений: 2639
Re: Tycobrahe Octavia трансформатор N2
« Ответ #6 : Мая 19, 2025, 06:43:32 »
Я бы взял ТОТ-28