Автор Тема: Микро Торпедо лайв из желудей и спичек.  (Прочитано 121095 раз)

0 Пользователей и 1 Гость просматривают эту тему.

Оффлайн AZG

  • Живу на форуме
  • *******
  • Сообщений: 95433
  • Санкт-Петербург
    • AZG CUSTOM
Re: Микро Торпедо лайв из желудей и спичек.
« Ответ #90 : Мая 07, 2015, 11:02:18 »
Midgardius, Китайские стерео-гнезда! Тщательно проверять где какой контакт. Плюс предварительное лужение контактов с помощью мощного флюса, промывка и уже потом паять провод с применением канифоли.

Оффлайн Midgardius

  • Новичок
  • *
  • Сообщений: 31
  • GuitarPlayer.Ru fan!
Re: Микро Торпедо лайв из желудей и спичек.
« Ответ #91 : Мая 12, 2015, 08:40:25 »
AZG, спасибо! Действительно проблема была в гнёздах, поставил другие и всё отлично заработало. Наконец-то послушал F800 - отличный канал клина :i_am_so_happy:

Оффлайн AZG

  • Живу на форуме
  • *******
  • Сообщений: 95433
  • Санкт-Петербург
    • AZG CUSTOM
Re: Микро Торпедо лайв из желудей и спичек.
« Ответ #92 : Мая 12, 2015, 09:05:35 »
Midgardius, Ну, не в первый раз встречаюсь с ними. Обычно гайки на М9 свинчиваю и остальное в мусор :)

Оффлайн Midgardius

  • Новичок
  • *
  • Сообщений: 31
  • GuitarPlayer.Ru fan!
Re: Микро Торпедо лайв из желудей и спичек.
« Ответ #93 : Октября 01, 2015, 08:35:13 »
Добрый день всем! Подскажите пожалуйста какие детали нужно заменить, чтобы увеличить возможность нагрузки лоадбокса с 15(?) до 50 Ватт.

Оффлайн KMG

  • Опытный
  • ****
  • Сообщений: 844
  • completely insane
    • KMG personal page
Re: Микро Торпедо лайв из желудей и спичек.
« Ответ #94 : Октября 01, 2015, 15:27:43 »
Номиналы менять не нужно
Увеличивать нужно мощность резисторов и менять катушки и кондер.
Те типы что стоят изначально тянут не более 15-20 Ватт.

Готовых катушек на большую мощность не нашел, кондер можно заменить на пусковой.

Оффлайн Валерий Дьяконов

  • Завсегдатай
  • ***
  • Сообщений: 273
  • GuitarPlayer.Ru fan!
Re: Микро Торпедо лайв из желудей и спичек.
« Ответ #95 : Октября 23, 2015, 21:53:52 »
KMG,НЕ МОГЛИ СОБРАТЬ НА ЗАКАЗ РЕАКТИВНЫЙ ЛОАДБОКС С ЛИНЕЙНЫМ ВЫХОДОМ?

Оффлайн Proks206

  • Опытный
  • ****
  • Сообщений: 588
  • Бог в помощь
Re: Микро Торпедо лайв из желудей и спичек.
« Ответ #96 : Ноября 02, 2015, 20:45:58 »
Если самому мотать катушки, какое примерно число витков потребуется для каждой, ну для той что 680uH примерно 230 витков или около того (прикинул по фото :)), а вот вторая на 8,2 mH, использование ферритового сердечника принципиально? Можно же вобще без него намотав большее количество витков? Ну или каких габаритов взять сердечник и сколько прикидочно витков нужно, хотелось бы нагрузку для 50 или лучше 100 ватт
« Последнее редактирование: Ноября 02, 2015, 20:59:55 от Proks206 »

Оффлайн Proks206

  • Опытный
  • ****
  • Сообщений: 588
  • Бог в помощь
Re: Микро Торпедо лайв из желудей и спичек.
« Ответ #97 : Ноября 06, 2015, 11:04:30 »
Вопрос актуален, подскажите знатоки, на какой ток и напряжение примерно нужно рассчитать катушки для 100 ватт?

Оффлайн kaeromorte

  • Частый посетитель
  • **
  • Сообщений: 101
Re: Микро Торпедо лайв из желудей и спичек.
« Ответ #98 : Декабря 22, 2015, 14:46:28 »
Вопрос актуален, подскажите знатоки, на какой ток и напряжение примерно нужно рассчитать катушки для 100 ватт?

Поддерживаю

Оффлайн Rolly

  • Живу на форуме
  • *******
  • Сообщений: 9021
  • Мнение - не повод получить пулю сразу.
Re: Микро Торпедо лайв из желудей и спичек.
« Ответ #99 : Декабря 22, 2015, 15:45:54 »
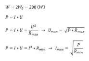
Можно сделать оценку через величину импеданса в крайних значениях. Мощность берётся в два раза выше номинальной. По формуле электрической мощности вычисляется наибольшая амплитуда напряжения на выходе усилителя. Очевидно она будет в районе резонанса, где наибольший импеданс. Получаем предельное напряжение. Берём минимальный импеданс в рабочем диапазоне, вычисляем по той же формуле для тока, получаем предельный ток.

Оффлайн kaeromorte

  • Частый посетитель
  • **
  • Сообщений: 101
Re: Микро Торпедо лайв из желудей и спичек.
« Ответ #100 : Декабря 22, 2015, 16:05:17 »
Так..?
+ Как узнать импеданс, если на графике зависимость db (Hz)?

Оффлайн Rolly

  • Живу на форуме
  • *******
  • Сообщений: 9021
  • Мнение - не повод получить пулю сразу.
Re: Микро Торпедо лайв из желудей и спичек.
« Ответ #101 : Декабря 22, 2015, 16:22:59 »
Типа того, хотя КМГ где-то писал о превышении реактивных токов и напряжений в два с половиной раза от номинала.

... и добавил:

Мне сейчас неудобно считать-проверять.

... и добавил:

Кроме того для эмуляции закрытого каба там растёт одна индуктивность раза в четыре, емнип.

... и добавил:

Как переводить график КМГ из дБ в Омы сейчас не соображу. Можно пересчитать по формулам для резонансных контуров.
« Последнее редактирование: Декабря 22, 2015, 16:40:14 от Rolly »

Оффлайн kaeromorte

  • Частый посетитель
  • **
  • Сообщений: 101
Re: Микро Торпедо лайв из желудей и спичек.
« Ответ #102 : Декабря 23, 2015, 11:17:34 »
Нашёл альтернативу, со всеми номиналами и мощностями:
http://www.thegearpage.net/board/index.php?threads/aikens-reactive-dummy-load.1072793/

Оффлайн Rolly

  • Живу на форуме
  • *******
  • Сообщений: 9021
  • Мнение - не повод получить пулю сразу.
Re: Микро Торпедо лайв из желудей и спичек.
« Ответ #103 : Декабря 23, 2015, 11:54:56 »
В принципе при рассчёте то же бы и получилось.

... и добавил:

Если переводить импеданс из дБ в разы, по правилу 10 дБ - 10 раз, то у КМГ то же и получится.
« Последнее редактирование: Декабря 23, 2015, 11:58:57 от Rolly »

Оффлайн KMG

  • Опытный
  • ****
  • Сообщений: 844
  • completely insane
    • KMG personal page
Re: Микро Торпедо лайв из желудей и спичек.
« Ответ #104 : Декабря 23, 2015, 13:49:40 »
Хорошая статья от Виктора Кемпфа.
ГИТАРНЫЙ АТТЕНЮАТОР С ИМИТАЦИЕЙ НАГРУЗКИ (Виктор Кемпф, авторская статья)
PS будьте внимательны, для электролитов нормируется максимальный допустимый ток пульсаций переменного тока.
« Последнее редактирование: Декабря 23, 2015, 13:54:33 от KMG »